Objectives: In addition to graft dysfunction, renal transplant recipients on cyclosporine may be switched to tacrolimus to reduce its drug-related secondary clinical effects and undesirable cosmetic side effects. However, the dose level of once-daily tacrolimus for these patients has yet to be established. The objective of this prospective study was to confirm the safety of converting stable renal transplant recipients on cyclosporine to once-daily tacrolimus at a 50:1 mg ratio.
Materials and Methods: Our study enrolled 17 patients receiving cyclosporine who were observed for 3 months. Graft biopsies did not reveal any acute rejection, and the conversion ratio to once-daily tacrolimus was 50:1 mg. Dose adjustments were made to achieve a target tacrolimus trough concentration of 3 to 5 ng/mL at 2 weeks, and graft biopsies were taken after the 3-month observation period.
Results: Dose adjustment was required in 7 recipients (41.2%) within 3 months of conversion. None of the recipients had acute cellular rejection or C4d depo-sition, and the mean estimated glomerular filtration rate of 38.7 ± 11.0 mL/min/1.73 m2 at baseline was significantly improved to 42.0 ± 10.0 mL/min/1.73 m2 at month 3.
Conclusions: Although recipients of renal transplant can be forced to discontinue cyclosporine admi-nistration due to undesirable adverse effects, our study showed that a once-daily dose of tacrolimus may be safe when administered at a conversion ratio of 50:1.
Key words : Calcineurin inhibitor, Renal transplantation, Safety
Introduction
Cyclosporine and tacrolimus are calcineurin inhibitors (CNIs) that are known to reduce acute rejection episodes and improve short-term graft survival after renal transplant as an immunosuppressant. Calcineurin inhibitors are key to maintenance immunosuppression and a major component of transplant protocols. Cyclosporine and tacrolimus have similar adverse effects, and both are associated with renal dysfunction.1 However, the frequency of dyslipidemia and gingival hyperplasia with cyclosporine is higher than that with tacrolimus, whereas the frequency of hyperglycemia with tacrolimus is higher than that with cyclosporine.2,3
Conversion to tacrolimus has been reported to improve or resolve these cyclosporine-related adverse effects.4 Moreover, renal function can be improved by switching from cyclosporine to tacrolimus.5 Con-version from cyclosporine to tacrolimus may be initiated not only because of graft dysfunction but also to reduce drug-related secondary clinical effects and undesirable cosmetic side effects.
A prolonged-release tacrolimus formulation (Graceptor, Astellas Pharma Japan Ltd, Tokyo, Japan; referred to as once-daily tacrolimus) allows once-daily dosing with the potential for improving treat-ment adherence. Nonadherence contributes to chronic antibody-mediated rejection as an inde-pendent risk factor for the development of de novo donor-specific antibodies.6 A previous report demonstrated that once-daily tacrolimus can lead to a significant reduction in intravariabilty of tacrolimus trough concentration compared with twice-daily tacrolimus.7 High within-patient variability in the clearance of tacrolimus causes poor long-term renal transplant outcomes.8 Moreover, we previously demonstrated that pancreatic β-cell function in renal transplant might be improved by switching to once-daily tacrolimus from twice-daily tacrolimus due to the lower maximal tacrolimus concentration and suggested that the development of diabetes mellitus after transplant may be decreased in stable recipients.9,10 Once-daily tacrolimus may therefore be more appropriate than twice-daily tacrolimus for patients experiencing cyclosporine-induced adverse events.
However, the dose of once-daily tacrolimus for renal transplant recipients converting from cyclos-porine has not yet been established. Here, we conducted a preliminary study with an observation period of 3 months to describe the safety of con-verting stable recipients of renal transplant on cyclosporine to once-daily tacrolimus at a ratio of 50:1.
Materials and Methods
Patients
This study enrolled 17 living-donor and deceased-donor renal transplant
recipients. Before conversion, all 17 recipients were being treated with
cyclo-sporine, combined with methylprednisolone plus the antimetabolite
mycophenolate mofetil (MMF). The following recipients were included in this
study: (1) recipients with slightly impaired graft function defined as an
estimated glomerular filtration rate (eGFR) of less than 35 mL/min/1.73 m2 (n =
4), (2) recipients who requested once-daily formulation of CNI (n = 10), or (3)
recipients who developed cyclosporine-related adverse effects such as
dyslipidemia or gingival hyperplasia (n = 3). Patients who had been followed for
at least 18 months after transplant were enrolled, and those on drugs that
interfere with the metabolism of tacrolimus were excluded. All participants
provided written informed consent before enrollment in this study, which was
approved by the Human Ethics Committee of our institution (No. 2825).
Methods
The recipients underwent graft biopsies, and those with acute cellular and
antibody-mediated rejection episodes were excluded from the study. All biopsy
samples were examined using light microscopy and evaluated for deposit of C4d in
the peritubular capillaries using immunofluorescent staining. Acute cellular
rejection and antibody-mediated rejection were histologically diagnosed
according to the Banff 2007-2013 criteria.
As shown in Figure 1, recipients were switched from cyclosporine to once-daily tacrolimus at a 50:1 conversion ratio. At 2 weeks after conversion, dose adjustments were made to achieve a target tacrolimus whole blood trough concentration of 3 to 5 ng/mL. Patients were closely monitored (once or twice per 2 weeks) for 1 month after conversion to check for adverse effects due to conversion from cyclosporine to once-daily tacrolimus. Baseline doses of methylprednisolone and MMF remained unchanged in all patients. The patients also received general lifestyle guidance at the beginning of this study. After 3 months, graft biopsies were taken, and the presence of acute rejection and C4d deposition were verified. The morphologic appearance and C4d deposits in peritubular capillaries were assessed, and the frequency of acute cellular and/or antibody-mediated rejection was evaluated.
At the beginning of this study, clinical parameters were collected, which included age, sex, cause of end-stage renal disease, time to relative transplant, type of transplant (deceased/living), ABO incom-patibility, and number of HLA mismatch antigens. Blood pressure was reported as the average of 3 automated measurements taken at 3-minute intervals at baseline and 3 months after conversion. Body mass index (BMI) was also measured at baseline and 3 months after conversion. At baseline and at 1, 2, and 3 months after conversion, early-morning fasting blood samples were collected to assess biochemical parameters, which included serum creatinine, eGFR, fasting blood glucose (FBG) level, total cholesterol, triglycerides, low-density lipoprotein cholesterol (LDL), high-density lipoprotein cholesterol (HDL), hemoglobin A1c, and CNI trough concentrations. Fasting insulin was evaluated in recipients with no prior evidence of diabetes, and insulin resistance and pancreatic β-cell function were determined using the homeostasis model assessment of insulin resistance (HOMA-R = fasting insulin [mU/L] × FBG [mg/dL]/405) and the homeostasis model assessment of β-cell function (HOMA-β = 360 × fasting insulin [mU/L]/(FBG [mg/dL] - 63), respectively. Urinary albumin excretion (the ratio of spot urine con-centration of albumin to creatinine) was estimated to assess renal damage and diffuse endothelial dysfunction at baseline and at 1, 2, and 3 months after conversion. Dose adjustment or reconversion to cyclosporine was conducted when rejection or tacrolimus-related adverse effects were suspected. All occurrences of adverse events were collected for analyses.
Tacrolimus and cyclosporine concentrations were measured using electrochemiluminescence immu-noassay, and eGFR was estimated using the modified Modification of Diet in Renal Disease Study equation using the new Japanese coefficient.11 All of these procedures were performed in accordance with the Declaration of Istanbul 2008 and the Declaration of Helsinki 2000.
Statistical analyses
Statistical analysis was done using EZR (Saitama Medical Center, Jichi Medical
University, Saitama, Japan), which is a graphical user interface for R (The R
Foundation for Statistical Computing, Vienna, Austria). More precisely, it is a
modified version of R commander designed to add statistical functions frequently
used in biostatistics.12 The results are presented as median and range or mean
values and standard deviations. Statistical significances were assessed using
paired t test or Wilcoxon test, and P < .05 was considered statistically
significant.
Results
Baseline characteristics
The median age of the recipients at transplant and at conversion was 47 years
(range, 23-74 y) and 54 years (range, 29-78 y), respectively. The median
duration from transplant to conversion was 47.3 months (range, 18.6-120.8 mo).
At baseline, the mean total daily dosage of cyclosporine was 131.2 ± 28.9 mg/day
and the mean cyclosporine trough concentration was 90.3 ± 18.9 ng/dL. The median
serum creatinine value was 1.56 mg/dL (range, 1.06-2.11 mg/dL), the mean eGFR
value was 38.7 ± 11.0 mL/min/1.73 m2, and the mean urinary albumin excretion
value was 26 mg/g creatinine (range, 4-162 mg/g). The mean BMI was 21.3 ± 3.0
kg/m2. Regarding the lipid profile, total cholesterol and LDL were 211.6 ± 41.8
mg/dL and 119.2 ± 32.8 mg/dL, respectively. The cause of end-stage kidney
disease was diabetes mellitus in 2 patients. The other baseline characteristics
are shown in Table 1.
Tacrolimus dose adjustment after cyclosporine-to-tacrolimus 50:1 conversion
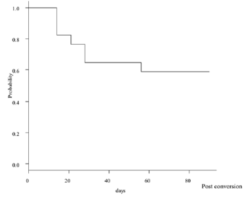
Seven recipients (41.2%) required tacrolimus dose adjustment to maintain the
target tacrolimus trough concentration, but 10 recipients (58.8%) did not
receive dose adjustment within 3 months of conversion. The tacrolimus dose was
increased in 4 recipients and decreased in 3 recipients. The probability of
freedom from tacrolimus dose adjustment after conversion is shown in Figure 2.
Cyclosporine and tacrolimus doses and trough concentrations
The mean cyclosporine dose before conversion was 131.2 ± 28.9 mg/day. The mean
tacrolimus dose was 2.8 ± 0.5 mg/day at conversion, 2.8 ± 0.7 mg/day at 1 month
after conversion, 3.0 ± 0.7 mg/day at 2 months, and 2.8 ± 0.9 mg/day at 3
months. The mean cyclosporine trough level was 90.3 ± 18.9 ng/mL at conversion.
The mean tacrolimus trough level was 3.8 ± 1.3 ng/mL at 2 weeks after
conversion, 4.0 ± 1.5 ng/mL at 1 month, 3.7 ± 1.0 ng/mL at 2 months, and 4.1 ±
1.3 ng/mL at 3 months.
Pathology and C4d staining
Before conversion, there were no pathologic findings of acute cellular rejection
and/or antibody-mediated rejection in the biopsy specimens. No recipients had
diffuse C4d staining patterns, one patient had focal C4d staining, and 16
patients had no C4d staining. Moreover, there were no apparent pathologic
findings of acute and/or chronic CNI nephrotoxicity such as tubular
vacuolization, arterial nodular hyalinosis, and/or striped form fibrosis before
conversion. At 3 months, allograft biopsies did not reveal any acute cellular or
antibody-mediated rejection and CNI nephrotoxicity, and all patients had no
diffuse C4d staining.
Renal function and urinary albumin excretion
There was a significant decrease in the median serum creatinine level from 1.56
mg/dL at baseline to 1.42, 1.46, and 1.44 mg/dL at month 1, 2, and 3,
respectively. There was a significant increase in mean eGFR level from 38.7 ±
11.0 mL/min/1.73 m2 at baseline to 41.4 ± 9.7, 41.9 ± 11.5, and 42.0 ± 10.4
mL/min/1.73 m2 at month 1, 2, and 3, respectively (Figure 3). There were no
significant differences in median urinary albumin excretion between baseline and
month 1, 2, and 3 after conversion (Figure 3).
Cardiovascular parameters
Steroid doses were not significantly different before and after conversion. The
use of antihypertensive drugs or statins did not significantly change during the
study. There were no significant differences in BMI between baseline and month 3
(21.3 ± 3.0 kg/m2 at baseline vs 21.1 ± 3.0 kg/m2 at month 3). There were no
significant changes in systolic (126.0 ± 20.3 mm Hg at baseline vs 124.8 ± 39.3
mm Hg at month 3) and diastolic (74.8 ± 37.8 mm Hg at baseline vs 72.1 ± 38.1 mm
Hg at month 3) blood pressure levels between baseline and month 3.
Glucose metabolism
We evaluated HOMA-R and HOMA-β in recipients who had no prior evidence of
diabetes (n = 15; 2 reci-pients whose cause for end-stage renal disease was
diabetes were excluded). The mean HOMA-R was 1.72 ± 1.49 mIU/mmol·L-2 at
baseline, 1.82 ± 0.73 mIU/mmol·L-2 at month 1, 1.78 ± 1.04 mIU/mmol·L-2 at month
2, and 1.71 ± 0.63 mIU/mmol·L-2 at month 3. With regard to HOMA-β, results
showed 112.1 ± 64.6 mIU/mmol at baseline, 88.7 ± 52.1 mIU/mmol at month 1, 81.8
± 34.1 mIU/mmol at month 2, and 87.8 ± 34.1 mIU/mmol at month 3. Results for
HOMA-R and HOMA-β were not significantly different between baseline and month 3.
Fasting glucose and hemoglobin A1c were not significantly different before and
after conversion. Hyperglycemia was not observed in all recipients.
Lipid profile
The mean level of LDL significantly decreased from 119.2 ± 32.8 mg/dL before
conversion to 119.2 ± 32.8 mg/dL at month 1, 113.4 ± 32.2 at month 2, and 111.7
± 33.3 at month 3. On the other hand, there were no meaningful differences in
total cholesterol, triglycerides, and HDL between before and 3 months after
conversion (Figure 4). Lipid parameters such as LDL significantly improved after
conversion even late posttransplant.
Adverse effects
Adverse effects causing discontinuation of once-daily tacrolimus or reconversion
to cyclosporine were not observed, and none of the recipients experienced death
or graft loss during the observation period. One patient had temporal but
recurrent diarrhea after conversion and was given an antidiarrheal agent. All
recipients showed good tolerance after conversion to once-daily tacrolimus.
Discussion
In the present study, stable renal transplant recipients were switched from cyclosporine to once-daily tacrolimus at a ratio of 50:1. To our knowledge, no reports have been made on the dose of once-daily tacrolimus for patients converting from cyclosporine. Our study revealed that 7 recipients (41.2%) required a dose adjustment within 3 months of conversion to achieve the target tacrolimus trough concentration (4 required an increase and 3 required a decrease). However, conversion using this dosage did not induce acute cellular rejection, antibody-mediated rejection, or C4d deposition in our study participants. Furthermore, our conversion did not cause graft deterioration or tacrolimus discontinuation in this short duration. Our study demonstrated the safety of converting renal transplant recipients requiring discontinuation of cyclosporine due to undesirable adverse effects to once-daily tacrolimus at a ratio of 50:1. Such a conversion may therefore be beneficial for selected renal transplant recipients.
A previous report showed conversion from cyclosporine to twice-daily tacrolimus on a 25:1 mg basis.13 Recently, the first demonstration of con-version to once-daily tacrolimus in stable recipients of renal transplant on cyclosporine (CONCERTO study) was reported by Rostaing and associates.14 They had anticipated difficulties in controlling the tacrolimus trough concentration because of reduced blood tacrolimus concentrations and increased dose requirements reported in a previous once-daily tacrolimus study. However, decreases rather than increases in the once-daily tacrolimus dosage were required to attain the target trough concentration in their study.14 Therefore, in our study, we decided on a protocol in which recipients were converted from cyclosporine to once-daily dose tacrolimus at a 50:1 ratio.
Once-daily tacrolimus administration has been shown to improve adherence to immunosuppressive agents and graft survival,15 and it has been deve-loped for the prevention of renal allograft rejection, which is considered to improve treatment adherence. Once-daily tacrolimus has a slightly lower maximal blood concentration than twice-daily tacrolimus, and its utilization has been suggested to reduce drug toxicity due to the low maximal concentration.10,16 Moreover, conversion from twice-daily tacrolimus to once-daily tacrolimus in stable recipients of renal transplant can cause a significant decrease in intra-variability of tacrolimus blood trough concentration.7 Increased intrapatient variability with tacrolimus increases late graft loss.8 Once-daily tacrolimus may therefore be more appropriate than twice-daily tacrolimus in patients experiencing cyclosporine-induced adverse events who require conversion to tacrolimus.
Low-dose tacrolimus plus MMF has been sug-gested to be a superior combination by some large randomized control studies, including the SYMPHONY study.17 In the low-dose tacrolimus group of the SYMPHONY study, a target trough concentration of 3 to 7 ng/mL was established.1 We elected a target tacrolimus trough of concentration of 3 to 5 ng/mL because the time since renal transplant was relatively long in our study (median of 47.3 mo).
No apparent morphologic findings such as CNI nephrotoxicity and/or rejection in graft pathology were shown in any of the participants before enrollment in our study. However, mismatch of body size and age between donors and recipients and graft damage without morphologic findings may cause mild impairment of graft function. In our study, renal function significantly improved after conversion. Another study (the CRAF study) also demonstrated that a switch from cyclosporine to tacrolimus resulted in improved renal function, although there was no impact on graft survival after 5 years.5 On the other hand, the CONCERTO study reported that renal function remained unchanged after conversion in stable renal transplant recipients.14 Varying changes in graft function reported by different clinical studies on CNIs may have been affected by the achieved CNI trough concentrations. Because our trough levels were lower than those of the CONCERTO study, the significantly improved renal function achieved in our study may have been due the lower tacrolimus trough levels.
There is evidence that conversion from cyclo-sporine to tacrolimus reduces cardiovascular risk parameters such as serum lipid findings.18 A small benefit of conversion on cardiovascular parameters was the decrease in LDL observed in our study, similar to that shown in a previous report regarding conversion from cyclosporine to twice-daily tacrolimus.18 Although our study was a short-term pilot study, our results indicate that there may be at least no future disadvantage with regard to the lack of increase in some cardiovascular risk parameters.
Generally, there is a higher incidence of diabetes with tacrolimus treatment than with cyclosporine treatment after renal transplant, and tacrolimus induces glucose intolerance more frequently than cyclosporine.19 However, the cyclosporine-to-tacro-limus 50:1 conversion did not worsen glucose tolerance in our study. Previous reports have suggested that once-daily tacrolimus may reduce tacrolimus-induced toxicity due to the low maximal concentration.16,20 Furthermore, our recipients were switched from cyclosporine to once-daily tacrolimus at a late stage. Conversion from cyclosporine may not have induced glucose intolerance in our recipients because of the low target tacrolimus trough levels.
One recipient in our study experienced recurrent diarrhea after conversion. Severe new-onset colitis developing shortly after the introduction of once-daily tacrolimus in renal transplant recipients has been previously reported.21 Although our patient had recurrent diarrhea, it was mild to moderate in intensity and treatable by administration of an antidiarrheal agent. However, it was not clear whether this adverse effect was caused by an infection or by the pharmacologic treatment, including the immuno-suppressive agents.
The limitations of our study might be the small sample size and short duration, as only 17 recipients could be studied. Moreover, our study was not a randomized control study. However, although this was a preliminary study, graft biopsies were performed in all of our patients before and after the study to guarantee safety.
Conclusions
Our study demonstrated the safety of conversion from cyclosporine to once-daily tacrolimus at a 50:1 ratio for renal transplant recipients requiring discontinuation of cyclosporine due to undesirable adverse effects. To assess its safety in the long term, a prospective well-controlled study in a larger pool of patients with a longer follow-up is needed.
References:

Volume : 18
Issue : 1
Pages : 1 - 7
DOI : 10.6002/ect.2018.0337
From the 1Department of Urology, Osaka City University Graduate School of
Medicine, Osaka, Japan; and the 2Department of Urology, Suita Municipal
Hospital, Suita, Japan
Acknowledgements: The authors have no sources of funding for this study and have
no conflicts of interest to declare.
Corresponding author: Junji Uchida, Department of Urology, Osaka City University
Graduate School of Medicine, 1-4-3, Asahi-machi, Abeno-ku, Osaka, 545-8585,
Japan
Phone: +81 6 6645 3857
E-mail: uchida@msic.med.osaka-cu.ac.jp
Figure 1. Protocol of Conversion From Cyclosporine (CsA) to Once-Daily Tacrolimus (Tac)
Figure 2. Probability of Freedom From Tacrolimus Dose Adjustment After Conversion
Figure 3. Changes in Estimated Glomerular Filtration Rate and Urinary Albumin Excretion
Figure 4. Changes in Total Cholesterol and Low-Density Lipoprotein Cholesterol
Table 1. Baseline Characteristics