Objectives: Hepatocellular carcinoma is among the leading causes of cancer death. The Milan criteria are the first and most widely used criteria for selecting patients with hepatocellular carcinoma for a good transplant outcome. Studies have shown that patients with hepatocellular carcinoma outside the Milan criteria have good outcomes if they are successfully downstaged before transplant. We report our experience with locoregional therapy for hepatocellular carcinoma, either for bridging or for downstaging prior to transplant.
Materials and Methods: We retrospectively reviewed the electronic charts and our institutional database for adult patients diagnosed with hepatocellular carcinoma between 2001 and 2016. We recorded patient demographics, the type of transplant (living donor or deceased donor), radiologic findings, the type of locoregional intervention, and overall survival.
Results: A total of 642 adult liver transplants were performed during the study period (290 living donor and 352 deceased donor), of which 158 (24.6%) were conducted in patients with hepatocellular carcinoma (104 men and 54 women). Hepatocellular carcinoma was associated with hepatitis C in 80 patients (51%), hepatitis B in 44 (28%), and was cryptogenic in 13 (8%). Patients were grouped based on their radiologic staging (within Milan, within and beyond University of California, San Francisco), and subsequently described by whether they received locoregional therapy. Median survival and mortality were noted. Kaplan-Meier survival curves showed no statistically significant difference for patients within the Milan criteria, with or without locoregional therapy (P = .5). When patients within the Milan criteria were combined with patients within the University of California, San Francisco criteria, those who were downstaged from outside the latter criteria had similar survival.
Conclusions: We demonstrate that carefully selected patients beyond the Milan criteria and even beyond the University of California, San Francisco criteria can be bridged and downstaged successfully for liver transplant.
Key words : Liver cancer, Locoregional therapy
Introduction
Hepatocellular carcinoma (HCC) is the sixth most common cancer worldwide and the third leading cause of cancer death.1 Most HCC develops in the setting of liver cirrhosis, which is often caused by viral hepatitis. The annual incidence of HCC in patients with viral hepatitis is 1% to 3%; recently, there has been an increase in the incidence of nonalcoholic steatohepatitis cirrhosis.2 The prevalence of HCC in Saudi Arabia and the economic burden of the disease are expected to increase over the next decade.3
Initially, the outcome of liver transplant for HCC was disappointing; however, a landmark paper by Mazzaferro and associates standardized the selection criteria with the result that liver-transplant outcomes for HCC are now similar to those for other indications.4 These “Milan criteria” are used by many transplant centers throughout the world and are considered the benchmark. However, it has become clear that the Milan criteria are restrictive and exclude some patients who would have excellent survival despite being outside of the criteria.5 The outcome of liver transplant for HCC within the Milan criteria at our institution is comparable to the international data.6,7
Downstaging refers to any treatment that aims to decrease tumor load and alter staging before surgery; it is offered to patients beyond the Milan criteria to identify those with a lower risk of HCC recurrence after transplant. There is no standard protocol for downstaging, uniform criteria for success, or defined wait times before listing for liver transplant.8 Strategies are developed with the assumption that a survival outcome similar to that seen with the Milan criteria will be obtained. Downstaging serves different potential purposes. First, it improves the selection criteria; ie, patients who do not progress are assumed to have a more favorable tumor biology and therefore a survival advantage.9-12 Second, locoregional therapy bridges patients until they are able to undergo transplant, potentially decreasing the chance of wait list dropout and reducing the risk of tumor recurrence after transplant, thereby improving survival. Downstaging strategies are either ablative or embolic: radiofrequency ablation, transarterial chemoembolization (TACE), and radioembolization (TARE) are the most commonly used modalities.9,13-16 The most commonly used is TACE, with a success rate as high as 50%.17 We previously reported our experience with good outcomes using TARE for bridging or downstaging before liver transplant.18
Patients whose HCC meet the Milan criteria receive a Model for End-Stage Liver Disease score exception of 22 on the deceased-donor liver transplant wait list, patients who meet the University of California, San Francisco (UCSF) criteria are allowed to undergo living-donor liver transplant (LDLT), and both categories of patients receive bridging locoregional therapy if the expected wait time for liver transplant exceeds 3 months. Patients who exceed the UCSF criteria undergo transplant if their HCC is successfully downstaged with locoregional therapy.
We report our experience with locoregional therapy for HCC, either for bridging or downstaging, prior to transplant in patients within the Milan criteria, within the UCSF criteria, or beyond the UCSF criteria. We analyze the effect of locoregional therapy on overall survival.
Materials and Methods
We retrospectively reviewed electronic charts and our institutional database after obtaining the approval of the Institutional Research Board at King Faisal Specialist Hospital and Research Center, Riyadh, Saudi Araba. Please note that patient consent was waived due to the retrospective nature of the study. The diagnosis of HCC was confirmed radiologically according to the guideline of the American Association for the Study of Liver Diseases.19 We collected records on all adult patients with a radiologic and pathologic diagnosis of HCC between 2001 and 2016. The data included patient demographics, the type of transplant (LDLT or deceased-donor liver transplant), radiologic staging using the Milan and UCSF criteria, the type of locoregional intervention employed, and overall survival. The data were analyzed after patients were grouped based on their stage and by whether they had a radiologic intervention to bridge or were downstaged before transplant. At the time of treatment, all patients had been discussed during the liver tumor board meeting, using a multidisciplinary approach to choose the most appropriate treatment modality.
Our institutional protocol for HCC was to transplant patients within the Milan and UCSF criteria. If they were expected to wait more than 3 months, then they were bridged using locoregional therapy—in the form of radiofrequency ablation, TACE or TARE. Patients outside the criteria were downstaged using either TACE or TARE. We waited 3 months; if patients did not demonstrate progression, we proceeded with transplant.
Statistical analyses
All statistical analyses were performed using software (SAS version 9.4, SAS Institute Inc., Cary, NC, USA). Descriptive statistics for continuous variables were reported as the mean ± standard deviation, and categorical variables were summarized as frequencies and percentages. The Kaplan-Meier method was used for survival tables and curves, and the different subgroups were compared using the log-rank test. The level of statistical significance was set at P < .05.
Results
Between January 2001 and September 2016, a total of 642 adult liver transplants were performed (290 deceased-donor and 352 LDLT). Of these, 158 patients (24.6%) were radiologically diagnosed with HCC (104 men and 54 women). The results of explant examination were reviewed in all patients, and HCC was confirmed histologically if the patient did not have a complete response to locoregional therapy. In 80 patients (51%), HCC was associated with hepatitis C; the disease was associated with hepatitis B in 44 patients (28%) and was due to nonalcoholic steatohepatitis or was cryptogenic in 13 patients (8%). Table 1 shows the patients divided by radiologic staging group (within Milan, within UCSF, beyond UCSF) and describes whether they received locoregional therapy, their median survival, and their mortality.
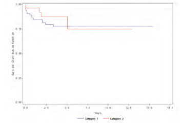
The Kaplan-Meier survival curves are shown in Figure 1. There was no statistically significant difference in the outcomes of liver transplant in patients with and without HCC. Figure 2 shows that there was no statistically significant difference in the outcomes of liver transplant in patients with HCC within the Milan criteria, with or without locoregional therapy (P = .5). Figure 3 shows a tendency toward better survival in patients receiving locoregional therapy when we combined patients within the Milan criteria with patients within the UCSF criteria, but this did not reach statistical significance. Figure 4 compares the survival of patients within the Milan and UCSF criteria (with and without locoregional therapy) with the survival of patients outside the UCSF criteria who were downstaged; the downstaged patients outside the UCSF criteria had similar survival to the group within the criteria.
Discussion
The presence of HCC in the background of liver cirrhosis represents a negative prognostic factor; however, appropriate patient selection can bring about long-term survival similar to that seen in patients without HCC undergoing transplant. Indeed, we observed this in our series. We also demonstrated that patients with HCC within the Milan criteria have similar survival regardless of whether they undergo locoregional therapy. This is most likely related to the short waiting time, as a high percentage of these patients underwent LDLT. Similarly, there was no statistically significant difference in survival for patients within the UCSF criteria, regardless of whether they received locoregional therapy; this may be because of the small number of such patients in our series. The benefit of locoregional therapy is obvious when the expected wait time before liver transplant exceeds 6 months.
In patients who undergo successful downstaging, the observed survival advantage can be attributed to either local tumor control or the fact that we select patients for transplant who respond to locoregional therapy and who, therefore, presumably have more favorable tumor biology. Nonresponders usually progress and are therefore not candidates for liver transplant listing. Our findings also indicate a similar outcome for patients within the Milan criteria and for those outside Milan but within the UCSF criteria; both groups have excellent outcomes. We demonstrated that patients outside the UCSF criteria who successfully respond to TACE or TARE have survival outcomes similar to those who are within the criteria.
There are inherent limitations in the currently available downstaging studies. First, there are no uniform criteria for downstaging. Different studies employ different protocols, making head-to-head comparisons difficult. Also, there are no uniform criteria for the target outcome of successful downstaging or for wait times before considering patients for liver transplant. Some programs, including ours, accept downstaging to UCSF criteria and a wait time of at least 3 months, while others require a minimum wait time of 6 months. Axelrod and associates reported poor outcomes for rushed liver transplant (without a waiting period).20
With results similar to ours, Yao and associates10 prospectively downstaged 21 patients, 16 of whom underwent LDLT after a 3-month waiting period. The 1- and 2-year survival rates were 89% and 82%. Otto and associates showed that response to TACE is a better predictor of tumor recurrence after liver transplant than tumor size.12 Lewandowski and colleagues14 compared TACE with TARE as a downstaging modality in 86 patients with HCC beyond the Milan criteria. A partial response and successful downstaging success were more common with TARE than with TACE (61% and 58% vs 37% and 31%), and overall survival favored TARE using yttrium-90 over TACE (censored, 35.7 vs 18.7 months; P = .18; uncensored, 41.6 vs 19.2 months; P = .008). These findings were confirmed by Iñarrairaegui and associates,2 who showed that tumor downstaging with TARE followed by resection or liver transplant provides the possibility of long-term survival in a select subgroup (United Network for Organ Sharing stage T3) with otherwise limited options. Majno et al reported higher survival after resection or transplant in TACE responders with > 3 nodules or nodules > 3 cm.21
Contradicting both Otto and associates and our study, Mazzaferro and colleagues showed, in a larger retrospective multicenter study (35 centers involving 1112 patients), better 5-year survival for patients within the Milan criteria (73.3%) than those outside Milan (53.6%). However, patients who exceed Milan without microvascular invasion, meeting up to 7 criteria, have survival similar to patients with the Milan criteria. Of note, this study involved patients with tumors up to 20 cm and up to 20 nodules, making comparisons with other studies difficult; in addition, the data on downstaging were not clear.5
Our study has certain limitations: it is retrospective, performed at a single center with a relatively small number of patients, and the definition of downstaging and the waiting time are different than those used in other studies.
Conclusions
We demonstrated that carefully selected patients beyond the Milan criteria and even beyond the UCSF criteria can be downstaged successfully to qualify for liver transplant, with similar outcomes to patients within the Milan criteria. There is a tendency toward better survival in patients within the Milan and UCSF criteria who undergo bridging, although this does not reach statistical significance.
References:

Volume : 15
Issue : 2
Pages : 7 - 11
DOI : 10.6002/ect.TOND16.L4
From the Department of Liver & Small Bowel Transplantation and Hepatobiliary-Pancreatic Surgery, King Faisal Specialist Hospital and Research Center, Riyadh, Saudi Arabia
Acknowledgements: The authors have no financial disclosures, received no funding for this study, and have no conflicts of interest to declare.
Corresponding author: Mohammed I. Al Sebayel, Department of Liver & Small Bowel Transplantation and Hepatobiliary-Pancreatic Surgery, King Faisal Specialist Hospital and Research Center MBC 72, Box: 3354, Riyadh 11211, Saudi Arabia
Phone: +966 114424818
E-mail: msebayel@gmail.com
Table 1. Use of Locoregional Therapy
Figure 1. Comparison of Survival for Hepatocellular Carcinoma Versus Nonhepatocellular Carcinoma
Figure 2. Comparison of Survival in Patients Within the Milan Criteria, With (Category 2) and Without (Category 1) Locoregional Therapy (P = .5)
Figure 3. Comparison of Survival in Patients Within the UCSF Criteria, With (Group 2+4) and Without (Group 1+3) Locoregional Therapy
Figure 4. Comparison of Survival in Patients Within the UCSF Criteria, With and Without Locoregional Therapy (Group 1+2+3+4), and Downstaged Patients Outside the UCSF Criteria (Group 6)