Subclinical Risk Predictors and Recovery Trajectories for Estimated Glomerular Filtration Rate Among Indian Living Kidney Donors: A Retrospective Cohort Analysis
Objectives: In the Indian subcontinent, data on clinical outcomes of living kidney donors remain scarce. We aimed to evaluate renal outcomes after kidney donation using estimated glomerular filtration trajectory-based analysis.
Materials and Methods: In this retrospective single-center study, we analyzed 300 living kidney donors who underwent nephrectomy between January 1 and December 31, 2019, at a tertiary transplant center. Only donors who completed at least 2 years of follow-up were studied. Primary outcome measures were new-onset hypertension, proteinuria, and decline of estimated glom erular filtration below 60 mL/min. Secondary outcomes were estimated glomerular filtration rate trajectories stratified by sex for baseline levels, systolic blood pressure, body mass index, and peak creatinine during admission. Predictors of proteinuria were investigated by Cox regression.
Results: At median follow-up of 25.7 months, 14.3% of donors developed de novo hypertension, 9.3% deve-loped proteinuria, and 6.0% had estimated glomerular filtration rate <60 mL/min/1.73 m2. Trajectory analysis showed a biphasic pattern of estimated glomerular filtration rate trend, characterized by an initial decline followed by stabilization after 6 to 12 months. Donors with elevated systolic blood pressure and obesity demonstrated a steeper drop in estimated glomerular filtration rate and flatter recovery slopes compared with donors with normal systolic blood pressure. Male donors with higher perioperative peak serum creatinine showed delayed recovery. In contrast, donors with low systolic blood pressure and normal body mass index had better trajectory estimated glomerular filtration rate after donation.
Conclusions: In this first Indian study to use trajectory-based modeling for stratifying risk in living kidney donors after donation, kidney donation practices remain safe but also call for structured and per-sonalized follow-up protocols for candidates with increased risk.
Key words : eGFR trajectory, Hypertension, Proteinuria
Introduction
Living kidney donation forms the bulk of the transplant activities for patients with end-stage kidney disease in emerging countries like India, where deceased donor programs are in an incipient stage due to lack of infrastructure.1,2Although donor nephrectomy is considered safe, emerging data from Western cohorts have suggested potential long-term risks, including hypertension, proteinuria, and renal function decline.3-6 However, systematic follow-up data on Indian living donors remain scarce,7 where population-specific risk factors (eg, younger donor age, disparity between male and female donors, higher baseline body mass index [BMI, calculated as kilo-grams divided by height in meters squared] using Asian cutoffs,8,9 and limited surveillance on patients after donation) could have different implications.10
Furthermore, no published studies have explored trajectory-based renal function modeling, especially in the context of age and sex.11-13 In this study, we addressed the existing knowledge gaps by evaluating a large, single-center cohort of living kidney donors in India with a uniform follow-up protocol of >2 years. We aimed to investigate the incidence of renal complications after donation, which included new-onset hypertension, proteinuria, and decline in esti-mated glomerular filtration rate (eGFR). We also investigated baseline donor characteristics associated with increased risk of renal outcomes. Our purpose was to provide new literature to inform better risk stratification and help to develop long-term mon-itoring policies tailored to the Indian context.
Materials and Methods
Study design, setting, population
We conducted a single-center, retrospective cohort study as a nephrology thesis at the IKDRC-ITS, a transplant center in Ahmedabad, Gujarat, India. We included living kidney donors (n = 300) who under-went donor nephrectomy between January 1 and December 31, 2019, and who had minimum follow-up of 2 years (concluding on February 2, 2022). This study adhered to the Declaration of Helsinki, the Declaration of Istanbul, and the Transplantation of Human Organs and Tissues Act. Because our dataset was deidentified and retrospective, informed consent was not required. The institutional ethics committee approved the protocol. All living kidney donors, including those in kidney paired donation programs, were eligible for inclusion.
Data collection and variables
Donor data were extracted from hospital medical records, discharge summaries, and the electronic health information system. We collected demographic data (age, sex, BMI), data on health before donation (serum creatinine, blood pressure, proteinuria, comorbidities), and laboratory data (hematuria, urine protein-to-creatinine ratio [uPCR], eGFR [CKD-EPI], complete blood count, serum urea). We also collected information on donor-recipient immunology (number of HLA mismatches) and data on the recipient (age and sex).
Follow-up protocol
Donors were followed at defined intervals: monthly for the first 6 months, quarterly up to 12 months, and biannually thereafter. At each visit, parameters on renal function, cardiovascular function, and metabo-lic marker were assessed. Renal function tests included serum creatinine, urea, urine analysis, and uPCR; eGFR was calculated using the CKD-EPI formula. Cardiovascular evaluation included blood pressure monitoring and 2-dimensional echocar-diography every 6 months. Metabolic markers inclu-ded BMI and electrocardiogram results. Donors were encouraged to self-monitor blood pressure regularly.
Definitions
De novo hypertension was defined as new-onset blood pressure >140/90 mm Hg on 2 occasions at 1 hour apart in previously normotensive donors. De novo proteinuria was defined as new-onset uPCR >30 mg/g, confirmed by 24-hour urinary protein estimation. Significant renal dysfunction was defined as eGFR <60 mL/min/1.73 m2 at any follow-up point. A cardiovascular event was new-onset acute coronary syndrome, unstable angina, or newly detected left ventricular dysfunction (ejection fraction <45%). Obesity was defined as BMI >25 kg/m2, as per Indian consensus definition.
Statistical analyses
We presented categorical data as numbers and percentages and continuous data as median and respective interquartile range (IQR). We made between-group comparisons with parametric or nonparametric tests. To assess the baseline distri-bution of key donor characteristics, we constructed univariate histograms for the following continuous variables: eGFR, BMI, systolic blood pressure (SBP), and age difference between the recipient and donor. We generated histograms by using R (version 4.3.1) with the ggplot2 package. For clarity, each histogram was overlaid with a kernel density curve using geom_density() to visualize the probability density function. Longitudinal trends in donor eGFR were modeled with locally estimated scatterplot smoothing (LOESS) to visualize renal recovery over time. We generated plots by using R (version 4.3.1) using the ggplot2 package, applying the geom_smooth (method = “loess”) function with a span of 0.75 for moderate smoothing. Trajectories were stratified by 4 clinical subgroups: sex (male vs female), BMI (≤25 vs >25), SBP (≤130 vs >130 mm Hg), and peak serum creatinine during index admission (above vs below median). Each plot displayed mean eGFR trends over time with 95% CI. Visual inspection of curvature and slope was used to assess differences in the extent of renal recovery. We also performed a Cox proportional hazards regression to identify predictors of incident proteinuria, defined as 24-hour urinary protein >300 mg after donation. Time-to-event was defined from nephrectomy to the first occurrence of proteinuria, with censoring at last follow-up for event-free individuals. The following covariates were used: baseline SBP (per mm Hg increase), BMI (per kg/m2), eGFR (per mL/min/1.73 m2), and peak serum creatinine during hospital stay (per mg/dL increase).
We tested the Cox model proportional hazard and multicollinearity by using the Schoenfeld residuals and variance inflation factors, respectively. We repor-ted results as hazard ratios (HRs) and accom-panying 95% CIs. We conducted statistical analyses with R version 4. For the purpose of this report, a 2-tailed P < .05 was adopted as a measure of sta-tistical significance.
Results
Our study included 300 living kidney donors with mean follow-up of 25.7 ± 3.6 months. All transplants were living related involving 289 near-related and 11 other than near-related donors. The most common donor relationship was mother (n = 101), followed by wife (n = 89), father (n = 55), and husband (n = 17). Other biological relatives included sister (n = 14), brother (n = 9), and grandmother (n = 4). Extended family members included mother-in-law (n = 4), father-in-law (n = 2), aunt (n = 2), paternal uncle (n = 1), brother-in-law (n = 1), and sister-in-law (n = 1).
Recipient age exhibited a broad distribution, with median of 50 years (IQR, 39-59 y), compared with 37 years (IQR, 32-44 y) for donor age. The mean donor–recipient age difference was +13.1 ± 8.6 years, with 82.4% of recipients being older than their respective donors (Figure 1).
Distribution of eGFR before donation was left-skewed, with a median of 98 mL/min/1.73 m2 (IQR, 90-108) and standard deviation of 13.2 (Figure 2). Among donors, 85.3% (n = 256) had eGFR >90 mL/min/1.73 m2 and 6.7% (n = 20) had eGFR between 60 and 70 mL/min/1.73 m2. At baseline, SBP showed a near-normal distribution, with a mean of 122 ± 9 mm Hg; 17.3% of donors (n = 52) had SBP ≥130 mm Hg, and 5.0% (n = 15) had SBP≥140 mm Hg.
Donor BMI showed a right-skewed distribution, with a median of 23.4 (IQR, 21.6-25.7). Based on Indian obesity criteria, 12.0% (n = 36) were classified as obese (BMI >25). This subgroup of high BMI had more occurrences of hypertension after donation (relative risk = 1.92; 95% CI, 1.02-3.61; P = .04) and proteinuria (relative risk = 2.15; 95% CI, 1.08-4.28; P = .03).
The detailed comorbid conditions and laboratory parameters before donation are shown in Table 1. The comorbidity pattern before donation was do-minated by hypertension in 56 donors (18.7%). Most donors were anemic, with median hemoglobin level of 11 g/dL.
The most common perioperative complication (Table 2) was urinary tract infection, affecting 10 donors (3.3%). Other complications occurred at low frequency (Table 2). Notably, there were no cases of acute kidney injury requiring dialysis, and only 2 donors (0.7%) experienced cardiovascular events during follow-up.
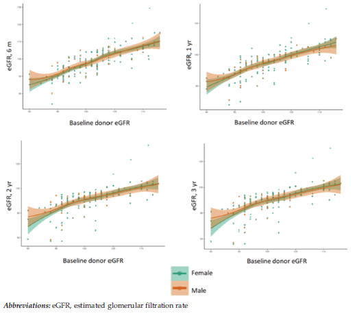
Donor eGFR trajectory stratified by sex showed a decline in eGFR in both sexes following nephrectomy, with trajectory stabilization after 6 to 12 months (Figure 3). There were no significant sex-based differences observed in the slope or nadir of eGFR. With regard to donor eGFR trajectory based on peak serum creatinine during hospital stay, stratified by sex, donors with higher perioperative peak creatinine had slower eGFR recovery trajectories (Figure 4). Male donors with higher peak creatinine showed a slightly blunted eGFR recovery. Female donors showed more uniform recovery than male donors, even with higher perioperative creatinine.
Donor eGFR trajectory by baseline donor BMI showed that obese donors (BMI >25) had a more attenuated eGFR recovery, with a lower plateau after donation (Figure 5). The curve showed widening confidence intervals after 1 year, indicating more heterogeneity in recovery, possibly reflecting coexis-tent metabolic risks. Donor eGFR trajectory based on SBP at the time of donation showed that donors with higher baseline SBP (even within the “normal” range) had slightly steeper initial eGFR drop and flatter recovery curve (Figure 6). Trajectories converged somewhat after 18 months, but the higher SBP group consistently remained about 5 to 8 mL/min/1.73 m2 lower.
De novo hypertension developed in 43 donors (14.3%), and proteinuria (uPCR >30 mg/g) occurred in 28 donors (9.3%), confirmed by 24-hour urinary protein estimation. An eGFR of <60 mL/min/1.73 m2 was shown in 18 donors (6.0%) at any point during follow-up. Cardiovascular events were rare (n = 2 donors; 0.7%), and obesity (BMI >25) at follow-up was seen in 16.5% of donors.
In the Cox proportional hazards model that assessed predictors of incident proteinuria, donor baseline systolic blood pressure was significantly associated with increased risk (HR= 1.07; 95% CI, 1.04-1.11; P < .01). Higher baseline BMI (HR = 1.18; 95% CI, 0.94-1.47; P = .15) and lower eGFR (HR = 0.93; 95% CI, 0.85-1.02; P = .14) showed nonsignificant trends toward increased risk, whereas peak in-hospital serum crea-tinine level did not predict proteinuria after donation (HR = 1.22; 95% CI, 0.10-15.5; P = .88).
Discussion
In this report of one of the largest cohorts of Indian living kidney donors, we showed critical insights into outcomes of Indian donors after donation. We utilized dynamic eGFR trajectories to identify key population-specific predictors of increased renal risk and added new insights in the existing literature.
Demographic variability in Indian living kidney donors
The clustering of baseline eGFR values near high-normal thresholds was in line with the standard strict donor selection in accordance with guidelines.1 However, the inclusion of a small subset with bor-derline eGFR suggested variability in selection thresholds and underscored the need for enhanced counseling before donation and longitudinal sur-veillance in such donors. Our results also high-lighted the nonviability of other donors in the family for living donation.
In our donor group, SBP in the subhypertensive range (120-129 mm Hg) emerged as a significant predictor of de novo proteinuria after donor nephrectomy. This results mirrored recent findings from East Asian donor studies, specifically Japanese and Korean cohorts, where even high-normal SBP was associated with increased glomerular strain and microalbuminuria.14-16 Our data suggested that SBP cutoffs for donor eligibility should be reevaluated, particularly in young or high-BMI donor populations.
Similarly, in accordance with the Indian-specific BMI thresholds (BMI >25), we observed a consistent association between overweight status and impaired post-donation renal recovery (Table 3). Although Western guidelines base obesity at BMI >30, our findings support emerging regional evidence that lower BMI cutoffs would be more appropriate for South and South-East Asian populations.17-23
Trajectory analysis of estimated glomerular filtration rate showing renal adaptation after donor nephrectomy
In our eGFR trajectory analysis of patients after donation, we noted an early decline in eGFR followed by stabilization. This finding bolsters the hypothesis of single-kidney adaptive hyperfiltration.24 However, significant interindividual variability was also observed. Donors with higher perioperative peak serum creatinine demonstrated slower recovery and lower eGFR plateaus after donation. This finding suggests the need for increased surveillance for donors with acute kidney injury, irrespective of the recovery time. Nephrectomy is a trigger for many genetically linked kidney diseases, like atypical hemolytic syndrome and focal segmental glome-rulosclerosis, and Indian donors are mostly biolo-gically related. In addition, genetic testing before donation is rarely done in Indian transplant programs; thus, the possibility of a living donor carrying a silent mutation of kidney disease cannot be overlooked.
We noted that our observed trend of steep plateau was more dominant in male donors, potentially because of greater muscle mass, which is an est-ablished cause of higher serum creatinine.
We also found that donors with higher BMI and elevated SBP before donation exhibited a blunted eGFR recovery, possibly reflecting impaired hyperfilt-ration reserve or underlying endothelial dysfunction. These patterns reinforce the pathophysiology of obesity-related glomerulopathy and glomerular hyper-filtration injury seen in metabolic syndrome.25,26
Sex-specific analysis showed comparable long-term results, but the early postoperative dip in male donors may indicate susceptibility to transient acute kidney injury or differential perioperative hemod-ynamic stress, warranting further exploration in larger prospective cohorts.
Risk prediction and statistical modeling
Cox regression analyses confirmed baseline SBP as an independent predictor of proteinuria, consistent with prior studies linking glomerular hypertension to microalbuminuria.27 Although the trend for BMI >25 did not reach significance, the finding echoed data shown in a previous international donor study.21 The wide confidence intervals for perioperative peak creatinine likely reflect limited events or collinearity and emphasize the need for larger datasets to refine these associations.
Our incorporation of visual analytic methods (LOESS, density histograms) enriched interpretation by demonstrating physiologic patterns that have never been reported for Indian patients. These tools enhance precision risk stratification and may inform future clinical decision support.
Sociocultural and male-female disparity in living kidney donation practices in India
In our report, there was obvious sex predominance, where mothers, wives, and sisters as donors outnumbered their male counterparts, reinforcing previously reported sex differences in donors in South Asian transplant practices.28,29 The notable age differences between recipients and donors highlig-hted structural family hierarchies in caregiving and decision-making, which may have implications for health burdens among women after donation.
The exact cause of this age and sex mismatch is not explainable, but understanding these complex donor-recipient relationships is essential not only for ethical evaluation but also for informed consent for tailoring of surveillance services after donation, particularly for female donors who may be dispro-portionately affected by complications but under-represented in follow-up programs.
Public awareness campaigns that emphasize the safety of living kidney donation and that work or quality of life is not compromised can improve sex disparity, especially for male donors. In addition, strengthened psychosocial counseling, socioeco-nomic support, and regulatory oversight are needed to ensure neutrality in donation for men versus women.
Strengths and limitations
This study had several strengths. First, this large single-center donor cohort had a standardized 2-year follow-up. Second, we used population-specific criteria (eg, Indian BMI cutoffs). Our study involved advanced statistical and visual analytic techniques. These features allowed generation of new infor-mation and rich comparative analysis with inter-national data.
Our study also had limitations, which included its retrospective design, potential for missed follow-up visits, and absence of structural assessments such as protocol biopsies or imaging. The confidence interval for peak creatinine was wide and should be interpreted cautiously. Generalizability to other ethnic health care systems may be limited, and long-term outcomes beyond 2 years remain understudied. Some variables, like perioperative creatinine, may also be confounded by nonrenal factors such as muscle mass or hydration status. Our follow-up of 2 years was insufficient to assess the risk of late-onset end-stage kidney disease in donors, and the results are applicable for study of early kidney outcomes only.
Conclusions
In this comprehensive Indian cohort of living kidney donors, we identified baseline subclinical variables, particularly high-normal SBP and overweight status, as important predictors of renal morbidity after donation. Our findings underscore the value of ethnically tailored risk stratification and support reevaluation of donor eligibility thresholds within South Asian populations. Integration of dynamic trajectory modeling and sociodemographic profiling provided a nuanced understanding of donor physiology and cultural practice, highlighting the need for long-term, structured follow-up, especially in resource-limited settings like India. The findings from our study confirmed the safety of living kidney donors with a need for surveillance in selected cases.Future studies with longer follow-up will shed further light in this gray area of research. Our study emphasizes the need to ensure excellent donor safety. We hope that this study will also help in considering incorporation of genetic testing protocol in donors. Our study will be a resource material for formulating guidelines in the context of living kidney donor eligibility refinement and personalized surveillance after donation.
References:

Volume : 24
Issue : 2
Pages : 119 - 128
DOI : 10.6002/ect.2025.0156
From the 1Department of Nephrology, IKDRC-ITS, Ahmedabad, Gujarat, India; and the 2Department of Nephrology, ILBS Vasant Kunj, New Delhi, India
Acknowledgements: The authors have not received any funding or grants in support of the presented research or for the preparation of this work and have no declarations of potential conflicts of interest.
Corresponding author: Vivek Kute, Department of Nephrology, IKDRC-ITS, Ahmedabad, Gujarat, India
E-mail: drvivekkute@rediffmail.com
Figure 1. Age Distribution of Donors and Recipients
Figure 2. Distribution of Estimated Glomerular Filtration Rate, Systolic Blood Pressure, and Body Mass Index in Donors
Table 1. Comorbidity and Laboratory Reports of Patients Before Donation
Figure 3. Trajectory Plot of Estimated Glomerular Filtration Rate Stratified by Sex Based on Baseline Estimated Glomerular Filtration Rate
Table 2. Complications in the First 3 Months After Donation
Figure 4. Trajectory Plot of Estimated Glomerular Filtration Rate Stratified by Sex Based on Peak Creatinine
Figure 5. Trajectory Plot of Estimated Glomerular Filtration Rate Stratified by Sex Based on Body Mass Index of Donor
Figure 6. Trajectory Plot of Estimated Glomerular Filtration Rate Stratified by Sex Based on Baseline Systolic Blood Pressure
Table 3. Association Between Obesity and Living Kidney Donor Outcome