Objectives: Alemtuzumab, a monoclonal antibody utilized as induction immunosuppression in renal transplant, targets CD52-positive lymphocytes, causing profound B- and T-cell depletion. The administration of such novel, potent immunosuppressive agents, with the goal of reducing rejection, poses an increased threat of BK virus infection in renal transplant recipients.
Materials and Methods: This internal review board-approved retrospective analysis included 676 renal transplant patients during a 9-year period. All patients were induced with alemtuzumab, and most received a steroid-minimizing regimen. BK viremia was defined as a clinically significant BK virus infection confirmed by polymerase chain reaction.
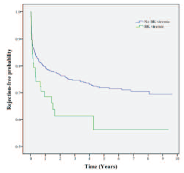
Results: Of total study recipients, 58 (8.6%) were positive for BK viremia. African American race/ethnicity, age > 65 years, and rejection showed significant associations with BK viremia. Kaplan-Meier analyses demonstrated significant differences in 3-year (P = .032), 5-year (P = .025), and overall rejection (P = .031) between patients with and without BK viremia. Differences were found in overall (P = .002) and 5-year (P = .001) death-censored graft survival for patients positive for BK viremia plus another non-BK infection versus patients without BK viremia or other infection. BK viremia-positive patients with other infections had significantly lower overall (P = .010) and 5-year (P = .010) death-censored graft survival than patients with BK viremia but without other infections. When we excluded other infections, we observed no differences between BK viremia-positive and BK viremia-negative patients.
Conclusions: BK viremia incidence following alem-tuzumab induction therapy appears to be comparable to that shown in other reports and slightly lower than the incidence in patients receiving non-alemtuzumab immunosuppression. BK virus may increase risk of rejection, and BK virus plus another infection may lead to decreased graft survival. African American patients, patients > 65 years old, and patients with rejection history may be at increased risk of BK virus. Closer screening should be considered in these populations.
Key words : Graft rejection, Infection, Kidney transplant
Introduction
Specific and potent induction agents used in renal transplant immunosuppression regimens have reduced the incidence of acute rejection.1 Due to their effects on limiting recipient alloimmune response, they are particularly important for patients who are sensitized, who have undergone a previous trans-plant, and who have multiple HLA mismatches.2 New induction agents have been employed in organ transplant with the goal of further improving allograft and patient survival. One such drug, alemtuzumab, is a monoclonal antibody that targets CD52-positive lymphocytes, causing profound B- and T-cell depletion. Although initially employed for the management of chronic lymphocytic leukemia, its potent and immediate depletion of lymphocyte cells have rendered alemtuzumab to be an excellent candidate for immunosuppression in solid-organ transplant.3,4 The primary goal for incorporating alemtuzumab into induction therapy was to provide a potential for steroid-free maintenance regimens, while also minimizing the use of calcineurin inhibitors.5 Alemtuzumab has been demonstrated to provide satisfactory outcomes with relative steroid avoidance, allowing for circumvention of the negative effects of long-term steroid use.6-8 Alemtuzumab offers sustained suppression of the immune system; however, current publications have indicated that it is often accompanied by additional risks, including an increase in the incidence of opportunistic infections.3,9,10
BK virus (BKV), an emerging opportunistic infec-tion, is a member of the virus family Polyomaveridae. Primary infections occur early in life but are generally asymptomatic.11 After initial infection, BKV remains latent in several tissues, and it is estimated that about 80% of the population has detectable antibodies against BKV.12 However, reactivation and subsequent manifestations occur only in cases of severe immunosuppression, such as AIDS or drug-induced immunosuppression for organ transplant.13 BK virus infections progress from asymptomatic viruria to viremia, and lastly BK virus nephropathy (BKVN). BK virus nephropathy can cause unfavorable outcomes, especially in renal transplant recipients, such as tubulointerstitial nephritis, early allograft loss, and kidney allograft failure.14,15 Viruria and viremia can be detected weeks to even months before signs and symptoms of BKVN, such as an increase in serum creatinine levels. Therefore, it is suggested that effective prevention of BKVN may be achieved by routine screening for viremia by DNA polymerase chain reaction (PCR).16 The most important risk factor for BK viremia and subsequent BKV-associated complications appears to be a higher intensity of immunosuppression.14,17,18 Multiple investigations have suggested that the immunosup-pressive agents tacrolimus and myco-phenolate mofetil are associated with BK viremia.19-21 The effects of induction therapy have been less studied, but Theodoropoulos and associates found no difference between alem-tuzumab induction compared with other induction agents.22 We sought to determine the impact of alemtuzumab immu-nodepletion, with steroid minimization, on the development of BK viremia and subsequent complications in renal allograft recipients.
Materials and Methods
This investigation consisted of 676 patients who received kidney transplants from a single center (University of Toledo Medical Center) between March 2004 and May 2015. Donor and recipient information was obtained from the United Network of Organ Sharing. All patient data were collected through the center’s electronic medical record software. This study was approved by the Institutional Review Board at the University of Toledo Medical Center (approval no. 200640).
Immunosuppression
All patients received induction therapy consisting of methylprednisone (500 mg
intravenously) and alemtuzumab (30 mg intravenously or 0.5 mg/kg if
< 60 kg). Postoperatively, patients were started on a steroid taper beginning
with intravenous methyl-prednisolone of 250 mg on day 1 and 125 mg on day 2.
Oral prednisone was administered at 60 mg on postoperative day 3, 40 mg on
postoperative day 4, and 20 mg on postoperative day 5. Oral tacrolimus 1.5 mg
twice daily and oral mycophenolic acid 540 mg twice daily were both started on
postoperative day 1. Most patients were treated with steroid-free regimens.
Infection monitoring and modifying immunosup-pression
All transplant recipients received a standing order for BKV titer every 3
months. A BKV PCR containing at least 500 copies/mL was considered positive. If
BKV PCR was 2000 copies/mL or greater, myco-phenolic acid was stopped and a
prednisone taper was started. If BKV PCR levels continued to rise, renal
biopsies were performed and leflunomide was added to the treatment regimen.
Occasional deviations from institutional guidelines were approved by the
nephrology and transplant surgery units. Other infections, including bacterial
infections, were diagnosed by appropriate culture (blood, urine, etc.) when an
infection was clinically suspected. Routine posttransplant cultures are not a
standard protocol at our institution.
Statistical analyses
Patient demographics are presented as count and percentage for categorical
variables and mean and standard deviation for continuous variables. Cox
proportional hazards model was used to perform univariate and multivariate
analyses. Variables with P > .10 in univariate analysis were included in the
multivariate model. Rejection, death-censored graft survival (DCGS), and patient
survival were evaluated using the Kaplan-Meier method with the log-rank test. A
two-sided P value of < .05 was considered statistically significant. All
analyses were conducted using SPSS version 23.0 (SPSS, Inc., Armonk, NY, USA).
To better localize the impact of infection and BKV on outcomes, only patients
who tested positive for an infection ± 365 days of testing positive for BK
viremia were considered positive for BKV and another infection. A separate
population that did not have BK viremia or any clinically significant infection
within the timeframe of the study was established for comparison. Rejection
incidences, including those leading to graft failure, were biopsy proven. A
small set of patients had graft failure with clinically suspected rejection (not
biopsy proven) and were labeled and grouped separately as “clinically suspected
rejection” for cause of graft failure.
Results
Patients were predominantly male (63.5%) and white (70.9%). The mean age was 52.2 years. Within our patient population, 297 patients (43.9%) showed positive infection at some point posttransplant. Of 676 study patients, 58 (8.6%) were BKV positive (as confirmed by PCR). The incidence of BK viremia was highest in African Americans at 16.9% (Table 1).
In univariate analysis, African American race/ethnicity, elderly age (> 65 years old), deceased donor, and rejection all showed P < .100 and thus were included in multivariate analysis. After multivariate analysis, only African American race/ethnicity (hazard ratio [HR] 1.01; 95% confidence interval [95% CI], 1.00-1.01; P < .001), elderly age (HR 2.30; 95% CI, 1.28-4.15; P = .006), and rejection (HR 1.88; 95% CI, 1.09-3.22; P = .022) showed significant associations with BK viremia (Table 2).
Kaplan-Meier analysis (Figure 1) demonstrated significant differences in 3-year (P = .032), 5-year (P = .025), and overall rejection (P = .031) between BKV-positive and BKV-negative patients (Table 3). However, rejection was not significant when BK viremia was analyzed involving infection as a factor. Continued analyses of presence of BKV in relation to other infections demonstrated significant differences in 5-year (P = .001) and overall DCGS (P = .002) for patients positive for BKV and other infections compared with patients not positive for BKV and other infections. These differences remained signi-ficant within the BKV-positive population. Five-year (P = .010) and overall DCGS (P = .010) were lower in patients positive for BKV and other infections versus patients positive for BKV but not having other infections. When patients positive for BKV but not other infections were compared with patients without BK and without other infections, no significant differences were shown with regard to rejection, DCGS, and patient survival (Table 4). Patient survival was not significant in any comparisons of patient populations in our analyses (Tables 3 and 4).
Chi-square analysis demonstrated a significant association between recurrent disease (P < .001) and death (P = .026) as causes of failure in BKV-positive versus BKV-negative groups (Table 5).
Discussion
The overall incidence of BK viremia (8.6%) in patients receiving alemtuzumab therapy appears to be lower than that reported for renal transplant patients who received non-alemtuzumab therapy. Shenagari and associates examined a renal transplant population receiving various immunosuppression regimens that did not include alemtuzumab and found a 20% incidence of BK viremia.23 Hirsch and associates reported BK viremia in 13% of their renal transplant patients, of which 83% received no induction therapy and 13% received non-alemtuzumab induction.24 In a study of 609 patients receiving kidney transplants at the Cleveland Clinic Glickman Urological and Kidney Institute, 21.7% of patients developed BK viremia within 1 year, but only 1 patient was given alemtuzumab induction.25 Few publications have examined the incidence and impact of BK viremia in renal transplant patients receiving alemtuzumab induction. The only large-scale investigation of this novel drug and BKV in renal transplant, to our knowledge, was a single-center retrospective analysis of 456 patients by Cannon and associates published in 2012. This group reported a comparable incidence of BK viremia (6.6%); however, no statistically significant associations were observed with anyrisk factor.26 Theodoropoulos and colleagues reported a 12% total incidence of BK viremia, but only 80.6% of the study population was induced with alemtuzumab.22 Our data showed a similar (8.6% vs 6.6%) or lower (8.6% vs 12%) incidence of BK viremia compared with these studies.
Our analyses of alemtuzumab immunosuppressed patients found that 43.8% of BKV-positive but only 30.5% of BKV-negative patients had graft rejection (P = .031). Cannon and associates found similar results, showing that 23.3% of patients with BK viremia, compared with only 11.5% of patients without BK viremia, had an acute rejection episode.26 In contrast, Shenagari and colleagues found no difference in acute rejection episodes between BKV-positive and BKV-negative patients undergoing immunosuppressive regimens that did not include alemtuzumab.23 Although 1-year rejection was no different in our BKV-positive and BKV-negative groups, we found that 3-year and 5-year rejection rates were significantly higher in the BKV-positive group than in the BKV-negative group.
In our analyses, in addition to separating patients into BKV-positive and BKV-negative groups, we further divided these groups depending on their non-BKV infection status. We then investigated differences in outcomes both before and after subdividing our patient population based on non-BKV infection status. Analyses of BKV-positive and BKV-negative patients (before subdividing by non-BKV infection) showed that patient survival and DCGS were not significantly different overall or by any time interval. Consistent with our results, Simard-Meilleur and associates found no significant differences in DCGS at 5 years in patients with BK viremia compared with patients without.27 However, DCGS did become significant when we further subdivided our patient population by presence or absence of non-BKV infections. We found DCGS to be significantly lower in patients who were positive for BK viremia and other non-BKV infections than in patients who were only positive for BK viremia and in patients who were both BKV negative and negative for other infections at 5 years and overall, although these differences were not shown at 1 year or 3 years. This suggests that patients with concurrent (within 1-year) BKV and non-BKV infection may have worse longer-term graft survival. A retrospective cohort study at a single center in India found no significant differences in DCGS at 1 year posttransplant between patients who did and did not have an infection requiring hospitalization.28 Although neither long-term DCGS nor the relationship of these infections with BK viremia were evaluated in that study, our results agree in that infection was not shown to be an independent risk factor for lower DCGS at 1 year. Parasuraman and colleagues examined the rates of death-censored graft failure (DCGF) as opposed to DCGS and found that the DCGF rate of 7.7% from 1990 to 2006 could be accounted for by infection. Interestingly, polyoma virus infections, along with urologic complications, were the most significant factors for DCGF in this study.29 Although our results suggest that a com-bination of BK viremia and non-BKV infection negatively affects long-term graft survival, further investigations are needed to validate the effects of BK viremia, infections, and their interaction on DCGS.
At a single-center study involving the admin-istration of tacrolimus or mycophenolate for immunosuppression, Moura and associates found that, of 41 transplant recipients with BKV replication, 39% had graft failure. In addition, only 5.5% of 512 recipients without BKV replication had graft failure.30 Our analysis of alemtuzumab-immunosup-pressed patients showed no significant difference in graft failure in patients with BK viremia (22.4%) and patients without (26.1%). Consistent with our findings, Cannon and associates also found no difference in graft failure between patients with and without BK viremia.26 These findings indicate that, in addition to a decreased rate of BK viremia compared with other immunosuppressive regimens, alemtuzumab may play a role in the decreased association between graft failure and BK viremia.
Many of the diseases affecting the native kidney have the potential to recur in the transplanted kidney. Diabetic nephropathy is the most common recurrent disease, but the same process may also occur in diseases such as membranoproliferative glomeru-lonephritis type II, immunoglobulin A nephropathy, and focal segmental glomerular sclerosis.31 Interestingly, our data showed that BKV-positive patients were significantly more likely to have graft failure due to recurrent disease than those who were BKV negative (30.8% vs 3.1%). Hariharan and colleagues explored the outcomes of recurrent and de novo disease in renal allograft transplant patients and found recurrent disease to be associated with poorer long-term survival and double the risk of allograft loss.32 Although the exact relationship between BKV and recurrent disease is unclear, both have demonstrated worse patient outcomes. In addition, as evidenced by our data, recurrent disease is much more problematic in the BKV-positive patient population.
Current literature disagrees on the risk factors associated with BKV. Shenagari and associates found no associated risk factors, including age, sex, or confirmed diabetes mellitus, with the development of BK viremia in patients who received immuno-suppression with non-alemtuzumab regimens.23 One study has shown deceased-donor transplant to be an independent risk factor for development of BK viremia in patients not induced with alemtuzumab.33 Yoon and colleagues found acute rejection to be an independent risk factor for BK viral loads ≥ 1 × 104 in those given basiliximab induction therapy.34 In patients induced with alemtuzumab, Cannon and associates found no significant risk factors, including age, African American race/ethnicity, panel reactive antibodies, high-risk status, or deceased-donor transplant, associated with the occurrence of BK viremia.26 Risk factors associated with BK viremia in our investigation included African American race/ethnicity, older age (> 65 years), and history of rejection. Infection, although not statistically significant, was protective against BK viremia. Standard care of infections after renal transplant can involve lowering of immunosuppression drugs if a physician determines it to be clinically appropriate based on symptoms, severity, and type of infection. This reduction in immunosuppression may have allowed for a lower rate of BKV reactivation in such patients.
One potential disadvantage of alemtuzumab induction with steroid minimization may be underimmunosuppression. Although we achieved lower rates of BK viremia compared with institutions that used other immunosuppression regimens and rates similar to institutions that used alemtuzumab, we noted an overall rejection rate of 27%, higher than the national average and greater than other institutions utilizing alemtuzumab. In addition, investigation into our rejection occurrences determined a relatively rapid onset and more severe rejection diagnoses, characterized by high Banff classification. Although steroid minimization had a positive effect in maintaining a low rate of BK viremia, the same approach likely contributed to our high rate of rejection. In the face of these findings, our institution is experimenting with long-term steroid maintenance in individuals preoperatively determined to be at greater risk for rejection. Whether this increased immunosuppression affects BK viremia incidence rates is a topic for future investigation.
Institutional policy currently recommends a reduction of immunosuppression when BKV PCR is 2000 copies/mL or greater by discontinuing mycophenolic acid and beginning a steroid taper. The aim of reduced immunosuppression is to decrease BK viral load, as well as to reduce the risk of subsequent BK viremia and other infections. Although the lessened immunosuppression reduces the risk of rejection mediated by infection, it increases the risk of cellular or antibody-mediated rejection. The opposite could also be stated, as an episode of acute rejection is treated with an increase in immunosuppression, thus leaving patients in acute rejection at an increased risk of subsequent BKV and other infections. Patients who are BKV positive but are not positive for non-BKV infections benefit from the reduction in immunosuppression, as their rate of rejection is not significantly different from those without both BKV and non-BKV infections. With reduced immunosuppression as a confounding factor, it is impossible to determine the direct effect of BK viremia, other infections, and reduced immuno-suppression. However, it is likely a combination of the three. Further investigations are necessary to determine the direct effects of BKV, infections, and lowered immunosuppression on graft rejection.
A limitation of this investigation is that insti-tutional protocols for BK viremia recommend reducing immunosuppression when BKV PCR is 2000 copies/mL or greater; however, in our data, a patient was considered positive for BKV infection if a BKV PCR contained at least 500 copies/mL. Therefore, not all patients positive for BK viremia were treated by reducing immunosuppression. Likewise, reduction of immunosuppression for other infections is determined on a case-by-case basis with no specific protocol but rather a standard of care. This may have permitted discrepancies in the treatment of posttransplant infections within our study population.
A strength of this investigation includes transplants at a single center, allowing for relative consistency in drug regimens and patient care. A narrower margin of error was achievable by the large sample size. Having data on patients over a long time period (2006-2017) also permitted good follow-up reporting. Although previous publications have examined BK viremia in renal transplant recipients, few have reported on BKV after alemtuzumab induction or considered individuals both positive for BKV and non-BKV infections.
Conclusions
This single-center investigation demonstrated a lower than reported incidence of BKV infection in alemtuzumab-induced patients with steroid mini-mization. Although it is difficult to account for all confounding variables in this retrospective analysis, it appears that alemtuzumab induction immunosup-pression with steroid minimization may offer the benefit of reduced BKV infection. It should also be considered that patients with African American race/ethnicity, age greater than 65 years, and history of rejection should be more closely screened for BKV infections.
References:

Volume : 18
Issue : 5
Pages : 557 - 563
DOI : 10.6002/ect.2019.0041
Table 1. Patient Demographics and Incidence of BK Viremia
Table 2. Univariate and Multivariate Models Assessing Association of BK Viremia With Patient Characteristics
Table 3. Rejection, Death-Censored Graft Survival, and Patient Survival Outcomes in Patients With and Without BK Virus Infection
Table 4. Rejection, Death-Censored Graft Survival, and Patient Survival Outcomes in Patients With and Without BK Virus and Non-BK Virus Infections
Table 5. Causes of Graft Failure in Patients With Versus Without BK Viremia
Figure 1. Kaplan-Meier Survival Analysis for Rejection in Patients With and Without BK Viremia (P = .031)