Objectives: Our objective was to determine the incidence and outcomes of renal cell carcinoma and transitional cell carcinoma in recipients of renal allografts.
Materials and Methods: We analyzed data from 2000 to 2012 in the Australia and New Zealand Dialysis and Transplant Registry, a binational population-based database, to identify the incidence and survival outcomes of renal transplant recipients with renal cell and transitional cell carcinoma.
Results: Of the 8850 renal transplants, there were 60 new diagnoses of renal cancers posttransplant, with an overall cumulative incidence of 56 per 100 000 per year. Nine tumors were detected in the allograft, and 51 tumors (85%) were detected in the native kidney of the recipient. The median time of diagnosis from transplant was 6.6 years (range, 0.1-8.9 y). There were no cancer-specific deaths from allograft tumors; however, 17 cancer-specific deaths (14 from renal cell carcinoma and 3 from transitional cell carcinoma) occurred in patients with cancer in the native kidney. The 5-year and 10-year cancer-specific survival rates for renal cell carcinoma were 71.2% (95% confidence interval (CI): 57.0-84.0) and 58.5% (95% CI: 40.5-77.9), with 5-year and 10-year rates for transitional cell carcinoma of 50% (95% CI: 15.5-94.2) and 0%.
Conclusions: Renal cell carcinoma occurring in the native kidney comprised most of the tumors detected after renal transplant; however, transitional cell carcinoma occurred sooner after transplant and resulted in a lower cancer-specific survival rate. While it is important to screen those at risk of TCC prior and after renal transplant, the low incidence of TCC maybe too small to justify a benefit with routine screening, compared to RCCs.
Key words : Cancer, Incidence, Screening
Introduction
Transplant is the optimal treatment for end-stage kidney disease, improving both survival and quality of life.1 Although improvements in immunosuppressive medications have resulted in an increase in the number of patients living with a functioning renal allograft, different causes of morbidity and mortality in transplant patients have also emerged. Malignancy has now become the most common cause of death for patients with a functioning graft, followed by cardiovascular disease.2
The risk of malignancy is increased in transplant recipients by 3- to 4-fold over the rate seen in the general population. Renal cell carcinoma (RCC) is the most common solid-organ malignancy after kidney transplant and has previously been estimated to be increased by approximately 4.08- to 7.97-fold compared with that shown in the general population.3-8 When compared with RCC, the rates of transitional cell carcinoma (TCC) after transplant are lower, with an incidence of 2%.9 Presently, comparisons in the literature of the incidence and survival of RCC and urothelial carcinoma or TCC in recipients of renal allografts are limited.
We aimed to determine the incidence of RCC and TCC in recipients of a renal transplant using a large binational population-based database and to examine the differences in the cancer-specific survival rates in these patients in both the native kidneys and allografts. The potential uses of screening for urinary tract malignancy after kidney transplant are also discussed.
Materials and Methods
The Australia and New Zealand Dialysis and Transplant Registry is a population-based database of all patients who start maintenance dialysis or receive kidney transplant in Australia or New Zealand. Data are collected in accordance with the ANZDATA privacy policy in which only anonymized data are released by the registry to researchers. Data are collected in accordance with the Australian Commonwealth Privacy Act, and individual patient consent is not required for the registry data. Patient anonymity is maintained by the coding of data during compilation; only anonymized data are released by the registry to researchers.10 Data from the Australia and New Zealand Dialysis and Transplant Registry have been validated previously and shown to be comparable with other transplant registries around the world.11
All new diagnoses of RCC and TCC in patients who received kidney transplants between 2000 and 2012 were identified using the International Classification of Diseases 10 codes. We collected data on patients who had cancer development in the allograft or the native kidney. The follow-up was calculated as time from tumor diagnosis until 2012. The incidence rates, the time from transplant to the development of cancer, and survival rates for each type of cancer were also calculated.
The overall cumulative incidence was calculated per 100 000 persons for the 12 years. The median time to diagnosis and survival rates were calculated using Kaplan-Meier estimate. Cumulative incidence was used to analyze cancer-specific survival to allow for competing risk (of death from other causes). We used Stata/IC (StataCorp. 2013. Stata Statistical Software: Release 13. College Station, TX, USA) for statistical analyses.
Results
There were 8850 renal transplants during the period of analyses from 2000 to 2012. Of these, 3347 were living-donor kidney transplants, 4916 were kidneys from donors after brain death, and 587 were kidneys from donors after cardiac death. Of 8850 renal transplants, 7788 were first transplants, and 1062 were repeat transplants.
During the period of analyses, 60 new diagnoses of renal cancer posttransplant were made, with 85% of these tumors developing in the recipient’s native kidney. The overall incidence for all renal tumors was 56 per 100 000 per year. Most tumors were found in male patients (85%), and mean age at detection was 55.9 years. The proportion of tumors was slightly higher in recipients of kidneys from brain dead donors (58.3%) than in patients receiving living-donor kidney transplants (41.7%) (Table 1). There were no reported renal tumors in recipients who received kidneys from donors after cardiac death. The overall incidence of RCC was 52 per 100 000, and the overall incidence of TCC was 5 per 100 000 per year. There were no patients with RCC or TCC who were lost to follow-up in this cohort.
Tumors in the graft kidney
Nine tumors were detected in allografts posttransplant. Eight of these tumors
were RCC, and 1 was TCC. Most of the patients in this group were males (7/9)
with kidney donations from brain dead donors. The average age of patients who
developed cancer in the allograft was 48.8 years, and the median time from
transplant to cancer diagnosis was 6.6 years, with the earliest being detected
at 0.1 years (1.2 mo) after transplant (range, 0.1-8.9 y) (Table 2).
Tumors in the native kidney
Fifty-one tumors were detected in native kidneys posttransplant, with 47 of
these being RCCs. Most patients who in this group were men (86%), and the
average age at diagnosis was 57.1 years. In patients who developed tumors in the
native kidney, 45% had received a kidney donation from a living donor, whereas
55% received a kidney donation from a brain dead donor; 53% of patients
developed tumors on the left kidney. Transitional cell carcinomas were seen in
recipients older than 50 years, with a higher percentage shown in recipients who
received a donation from a brain dead donor (75%). The earliest time from
transplant to detection was 0.02 years (0.24 mo), with median time to TCC
occurrence of 1.9 years and median time to RCC occurrence of 4.3 years (Table
3).
Survival rates for patients with renal tumors posttransplant
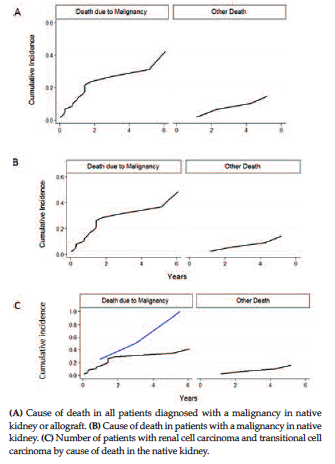
In our patient group, 22 deaths occurred in patients diagnosed with renal
cancer during follow-up, of which 17 were cancer specific. The 5 deaths not
attributed to cancer were from cardiac events and electrolyte imbalances (Figure
1). The overall 10-year survival rate was 42.9% (95% CI, 0.24-0.61) (Figure 2),
and the cancer-specific survival rate was 42.2% (95% CI, 23.9-59.5). In patients
who developed tumors in the allograft, there was only 1 death in a patient with
RCC; however, this was from a cardiac event during the follow-up of 9.2 years.
Survival rates for patients with cancer in the native kidney
In contrast to patients with tumors that developed in the allograft, all 17
cancer-specific deaths were in patients with tumors in the native kidneys. The
5-year and 10-year overall survival rates for patients with cancer in the native
kidney were 59.1% (95% CI, 41.8-72.9) and 37.6% (95% CI, 18.6-56.5) (Figure 2).
The cancer-specific (RCC or TCC) survival rates for patients with cancer in the
native kidney was 68.2% at 5 years (95% CI, 54.1- 81.6) and 51.5% at 10 years
(95% CI, 33.9-71.8) (Figure 2).
Of the 17 cancer-specific deaths of patients with cancer in the native kidney, 14 were from RCC and 3 were from TCC (Figure 1). The survival rate for patients who developed RCC in the native kidney was 71.2% at 5 years (95% CI, 57.0-84.0) and 58.5% at 10 years (95% CI, 40.2-77.9). In contrast, the 5- and 10-year survival rates for TCC were 50% (95% CI, 15.5-94.2) and 0%.
Discussion
The overall incidence of renal cancer after transplants was 56 per 100 000 per year for recipients in our study. The median time from transplant to development of any renal cancer was 4.5 years for RCC and 2.1 years for TCC. Although other studies have demonstrated that a higher proportion of tumors occur in the native kidney,12,13 our results demonstrate that the median times for development of both RCC and TCC in the native kidney were much shorter than in the allograft. In contrast to our findings, other studies have shown a longer median time of 3.9 to 7.4 years for development of RCC and 4.4 to 4.8 years for TCC after renal transplant.14,15 However, our results demonstrate that some cancers were detected as early as 1 month and as late as 12.2 years after transplant.
The cause for the shorter interval between transplant and diagnosis of renal cancer, particularly TCC, versus that shown in other reports is unclear. This could relate to differences in testing and screening both before and after transplant in the different populations, in particular regarding the difficulty in detection of TCC. Transitional cell carcinoma can present with painless macroscopic or microscopic hematuria, repeated urologic infection, or asymptomatic hydronephrosis during a routine examinations.16
Upper renal tract TCCs can be difficult to diagnose in the general population, even with the use of contrast computed tomography and cytology. The diagnosis of TCC in native kidneys in the transplant population is even more difficult. This is partly because of a reluctance to use contrast-enhanced computed tomography to avoid contrast-induced nephropathy and the limited opacification of any luminal lesions due to reduced excretion of contrast from poorly functioning native kidneys.
The European Association of Urology guidelines recommend the use of cytology in patients with microhematuria, analgesic nephropathy, or previous history of urothelial carcinoma.17 However, results from urine cytology, which is often used in the general population, also are affected by the limited function of native kidneys of transplant patients. These pose significant challenges in the diagnoses of TCCs in native kidneys, both before and after and transplant. Unlike RCC, the rates of TCC after transplant are lower, with an incidence of 2%,9 although this incidence appears to be altered less by immunosuppressive medications.8,18 However, in patients diagnosed with TCC, a previous transplant is also associated with poorer outcomes.19 Because our aim was to investigate the incidence of these malignancies, risk factors, including the length of immunosuppression, were not formally investigated.
Cigarette smoking, hypertension, obesity, and family history are well-established risk factors for RCC. In addition, the risk of developing of RCC has been shown to be increased with greater duration of end-stage kidney disease and by the development of acquired cystic disease.20 Therefore, improvements in allograft and recipient outcomes, with longer survival after reaching end-stage kidney disease, are likely to be associated with further increases in the occurrence of RCC.6 The survival rate of patients diagnosed with malignancy after transplant, including RCC, also appears to be lower than the general population.19 Despite the increased incidence and poor outcomes after kidney transplant, no trials assessing the role of screening for RCC in this population have been conducted and previous attempts to model the performance of screening by ultrasound were not shown to be cost effective.21 The current recommendations of the European Association of Urologists for screening of renal cancer in transplant patients suggest annual screening of the allografts and native kidneys to detect renal tumors.17 However, the American Society of Transplantation and the Kidney Disease Improving Global Outcomes Clinical Practice Guidelines for the Care of the Kidney Transplant Recipient do not recommend routine screening for renal cancers after transplant.22 Although routine annual ultrasonographic screening for renal cancer may improve survival by up to 25%, it has not shown to be cost effective for transplant recipients, even for those at high risk of disease.21 Some of the underlying limitations in use of ultrasonography as a screening tool are user dependence, lower sensitivity and specificity in detecting small tumors (< 3 cm), and uncertain performance in the presence of cystic kidney disease and small scarred kidneys, which are commonly present in patients with chronic kidney disease.21 Contrast-enhanced computer tomography scans have risks of contrast-induced nephropathy and acute kidney injury.21
Compared to a previous study that used the Australia and New Zealand Dialysis and Transplant Registry in 2008, which demonstrated a cumulative incidence of 46 per 100 000 per year, our results, updated until 2012, show a 17.8% increase in kidney-related tumors.23 Although this is a small change in the incidence of RCCs and TCCs after transplant, this increase, along with the poor survival rates, suggests a possible benefit in the use of screening in this population.
One of the main findings of our study was the large proportion of tumors detected in the native kidneys and the lower survival rates versus for tumors detected in the allograft. In addition to the reasons discussed previously, the better prognosis in the allograft also could result from closer monitoring of the allograft with a low threshold for biopsies, contributing to early detection and improved survival rates with graft excision.
Our study used a large, validated, binational population-based database that identified a large number of cancers. However, the retrospective nature of the study and other limitations inherent to database registries could have influenced our results. The registry does not capture the TNM staging, Fuhrman grade, and histologic subtype of kidney tumors or treatment, which are significant limitations. Therefore, we were unable to determine which patients were symptomatic from the disease or whether any of these tumors were found incidentally or through screening programs. We were also not aware of what modality was used to detect the cancers, the stage at the time of diagnosis, or the treatments used. We aim to address this in a future study of the characteristics of the tumors and treatment modalities in a subsection of cancer patients from the Australia and New Zealand Dialysis and Transplant Registry.
Conclusions
Our study demonstrates an overall incidence of 56 per 100 000 per year of renal tumors in transplant recipients, with most being RCCs detected in the native kidneys. However, in our patient cohort, TCCs occurred in the native kidneys earlier after transplant than RCCs and were associated with a lower survival rate. The cancer-specific mortality in patients with renal cancer posttransplant is high, particularly for tumors in the native kidneys, possibly because of a later diagnosis compared to cancers in the allograft.
References:

Volume : 14
Issue : 2
Pages : 166 - 171
DOI : 10.6002/ect.2015.0192
From the 1Monash Medical Centre and the 2Royal
Melbourne Hospital, Melbourne, Victoria, Australia, and from the 3ANZDATA
Registry, Adelaide, South Australia, Australia
Acknowledgements: The authors have no conflicts of interest to declare.
We acknowledge the Australia and New Zealand Dialysis and Transplant Registry
(ANZDATA) for providing the data and statistical support. The data reported here
have been supplied by ANZDATA. The interpretation and reporting of these data
are the responsibility of the editors and in no way should be seen as an
official policy or interpretation of the Australia and New Zealand Dialysis and
Transplant Registry.
Corresponding author: Weranja K. B. Ranasinghe, Department of Urology,
Monash Medical Centre, 823-865 Centre Road, Bentleigh, Victoria, Australia 3165
Phone: +03 9928 8111
Fax: +03 9928 8752
E-mail: weranja@gmail.com
Table 1. Cancer Incidence in the Native Kidney and Allograft After Kidney Transplant
Table 2. Cancer Incidence in the Native Kidney and Allograft After Kidney Transplant
Table 3. Cancer Incidence in Native Kidneys After Renal Transplant
Figure 1. Overall Number and Cause of Death in Patients with Renal Malignancy (in Native Kidney and Allograft) After Renal Transplant
Figure 2. Overall Survival After Renal Transplant