Abstract
Objectives: We aimed to identify outcomes of liver surgery in patients with hepatocellular carcinoma and colorectal cancer, which result in primary and secondary liver tumors.
Materials and Methods: Our study included 51 patients with colorectal cancer and liver metastases and 63 patients with hepatocellular carcinoma who were prepared for liver transplant due to cirrhosis who underwent hepatic resection or local ablation treatments; patients were seen between January 2011 and December 2021.
Results: Most patients with colorectal cancer were
men (58.8%). Mean age was 65.76 ± 13.818 years (range, 27-88 y). Most patients had planned, elective surgery (86.3%). Neoadjuvant chemotherapy was administered to 58.8% of patients. The most common location of metastasis in the liver was in the right lobe (43.1%), and the most common surgery was low anterior resection (17 patients). During simultaneous liver surgery, 31 patients required metastasectomy and 7 patients required radiofrequency ablation plus metastasectomy. No deaths occurred in the early posttransplant period, and cumulative survival was 82.624 ± 7.962 months. Disease-free survival was
45.2 ± 7.495 months. Most patients with hepato-cellular carcinoma were men (82.5%). Mean age was 58.73 ± 17.428 years. Hepatocellular carcinoma lesions were mostly located in both the right and left lobes (23.8%). In the hepatocellular cancer group, 60.3% had transarterial chemoembolization and 42.9% had radiofrequency ablation. The primary surgical resection was metastasectomy (17.9%) because of multiple localized lesions. Median follow-up was 22 months (range, 1-126 mo). Overall survival was 101.898 ± 7.169 months, with 10-year overall survival of 38%. Disease-free survival was 74.081 ± 8.732 months, with 1-year and 5-year disease-free survival of 90.5% and 54%.
Conclusions: Better survival was shown in patients with hepatocellular carcinoma than in patients with colorectal cancer. Therefore, more aggressive treatment options, as used in hepatocellular carcinoma, including liver transplant, may be options for patients with colorectal cancer.
Key words : Colorectal cancer, Hepatocellular carcinoma, Liver surgery, Metastatic colorectal surgery
Introduction
The most common malignant tumors (secondary tumors) of the liver are metastases. The second most common (primary tumors) malignant tumors are hepatocellular carcinomas (HCC).1
Colorectal cancer (CRC) is the third most common cancer in the world in terms of incidence and the fourth in mortality. Because of portal circulation, the liver is the most common place of metastasis in CRC. Median survival without treatment is <8 months from the moment of its presentation, and a survival rate at 5 years of 11% is the best prognosis for those who present with local metastasis.2,3 Synchronous liver metastasis can be detected in 25% of patients at the time of diagnosis. Surgery in these patients remains a topic of discussion.
Hepatocellular carcinomas are also tumors with a poor prognosis. Characteristically, a cirrhotic liver predominates with HCC. If untreated, the average survival time for patients is 6 to 20 months. For this reason, liver transplant (LT) is the optimal treatment option in selected patients. However, the preparation stages until LT are also important to prevent the growth of the tumor.4
In this study, we have presented our results on diagnosis and treatment of patients with CRC and synchronous liver metastases and patients with HCC who were planned for LT in our clinic. Our aim was to investigate the effects of liver tumor resection on survival in patients with primary and secondary liver tumors.
Materials and Methods
Between January 2011 and December 2021, 51 patients diagnosed with CRC with synchronous liver metastases, who underwent simultaneous CRC surgery and hepatic resection or local ablation treatments, and 63 patients with HCC who were prepared for LT due to cirrhosis were included in the study. Patients with CRC with delayed or sequential hepatic resection, no hepatic resection, and distant metastases other than hepatic resection were excluded from the study. For patients with HCC, we were able to use our clinic’s explant criteria for LT for HCC.5 We evaluated demographic characteristics; preoperative staging; radiological findings (colonoscopy, other organ and lymph node metastasis in computed tomography [CT] scans); laboratory findings (cancer embryonic antigen, carbohydrate antigen 19-9, AFP levels); postoperative pathologies, length of hospital stay; 1-, 2-, 5-, and 10-year mortality and survival (overall survival [OS] and disease-free survival [DFS]); treatment modalities (chemotherapy, radiotherapy, surgery techniques); complications (protective ostomy needing, anastomosis leakage); and recurrence time.
Statistical analyses
The Statistical Package for the Social Sciences for Windows version 24 software program (IBM Corporation) was used for statistical analysis of the study results.
Descriptive statistics are expressed as numbers and percentages for categorical variables and means ± standard deviations for quantitative variables if the data were suitable for normal distribution or median values if they were not suitable for normal distribution. The normality distribution of the data was evaluated using the Shapiro-Wilk test. Kaplan-Meier survival analysis was performed, and the survival curves were compared by log-rank test. P < .05 was considered to be statistically significant.
Results
Demographic data and clinical results of the 51 patients with CRC and 63 patients with HCC included in the study are summarized in Table 1 and Table 2, respectively.
Patients with colorectal cancer and liver metastases
Most CRC patients were men (58.8% men, 41.2% women). Mean age was 65.76 ± 13.818 years (range, 27-88 y). Most patients had planned, elective surgery (86.3%). Colonoscopy was performed in all patients. The patients who did not receive preoperative colonoscopy (emergent cases) received intraoperative colonoscopy. In the abdominal CT taken in the preoperative period, 76.5% of the patients had signs of intestinal obstruction. In addition, metastasis to local lymph nodes was detected in CT in 58.8% of patients and 58.8% received neoadjuvant chemotherapy.
Tumor differentiation showed mainly an intermediate level (70.5%). However, tumor grades were high, with 44% having grade 4, 40% having grade 3, 10% having grade 2, grade and 6% having grade 1. Nearly all tumors were adenocarcinomas (90.1%). Two-thirds of patients had left colon or rectum cancer, which resulted in low anterior resection being performed more as the primary surgery. Protective ostomy was not preferred in 57% of the patients.
In the postoperative period, anatomical leakage was not detected in 88% of the patients. Patients with CRC showed median carbohydrate antigen 19-9 level of 24.76 (range, 1.05-10931) and median cancer embryonic antigen level of 10.6 (range, 0.71-17900).
The most common location of metastasis in the liver was in the right lobe (43.1%). During simul-taneous liver surgery, 31 patients required metas-tasectomy and 7 patients required radiofrequency ablation plus metastasectomy. In addition, right hepatic lobectomy was performed in 9 patients and left hepatic lobectomy in 4 patients.
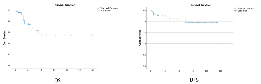
There were no deaths in the early postoperative period, and OS was calculated as 82.624 ± 7.962 months (range, 67.018-98.230 mo). Disease-free survival was calculated as 45.2 ± 7.495 months (range, 30.531-59.913 mo) (Figure 1). Length of hospital stay was 25 days (range, 5-91 days).
Patients with hepatocellular carcinoma and prepared for liver transplant
Most patients with HCC were men (82.5% men, 17.5% women). Mean age was 58.73 ± 17.428 years. All patients had cirrhosis, and most patients (81%) were outside the Milan criteria. Biopsy was performed in all patients for diagnostic purposes. Patients mostly had grade 2 and grade 3 tumors (41.9% and 48.8%, respectively).
More than half of patients (60.3%) required surgery. Hepatocellular carcinoma lesions were mostly located in the liver as multiple (both right and left lobes) (23.8%). Thirty-eight patients (60.3%) required transarterial chemoembolization, and 27 patients (42.9%) required radiofrequency ablation. As surgical resection, metastasectomy (17.9%) was applied to the patients mostly because of multiple localized lesions. Right hepatic lobectomy was performed in 3 patients, left hepatic lobectomy in 2 patients, and left lateral hepatectomy in 6 patients. Caudate lobe excision was performed in 1 patient. Necrosis was observed in 13 patients (20.6%) after the procedures. The median follow-up time was 22 months (range, 1-126 mo).
Overall survival was 101.898 ± 7.169 months, and 10-year OS rate was 38%. Disease-free survival was 74.081 ± 8.732 months, and 1-year DFS rate was 90.5% and 5-year DFS was 54% (Figure 2).
Discussion
The approach to patients with CRC with synchronous hepatic metastases remains unclear. Sequential, delayed, or simultaneous resection may be preferred. However, after traditional therapies for CRC, a surgical strategy for hepatic metastasis in the liver after chemotherapy and/or radiotherapy may be needed. Unfortunately, even if the surgical resection of the liver is conducted with this approach, local and remote recurrences have been shown in 60% to 70% of cases.2 For these reasons, preoperative assessment is important.
As an initial scan, a CT scan of the thorax, abdomen, and pelvis has been strongly recommended. In most cases, this is sufficient to determine resectability.6,7 In patients in our study, we also used CT in preoperative staging.
Another treatment strategy may be a shorter stay in the hospital to obtain systemic treatment after surgery in patients with simultaneous liver surgery. Two major surgeries at the same time may increase morbidity and mortality in patients. In a previous study, a simultaneous approach showed better morbidity and mortality rates than open surgery.8
In HCC patients, LT is considered the best form of treatment. However, many patients with HCC unfortunately present at an advanced stage. These patients are also not suitable for LT.9 Milan criteria were accepted for LT as a surgical treatment in HCC.10 However, because patients with early-stage HCC are found to be suitable for LT according to Milan criteria, it should not be surprising that their survival is also good. However, patients with advanced-stage and non-Milan criteria HCC have fewer treatment options. For this reason, it is recommended to prepare for LT by planning treatments that slow down the progression of the tumor.11 In our center, we apply patient selection according to Baskent University criteria, which we have created for patients with HCC.5 According to the protocol, we perform biopsies on all lesions suspected of HCC. We determine the histopathological grade of the tumor and sample liver tissue other than the mass to document the presence of cirrhosis. We prepare for LT those patients who are found to be in accordance with our Baskent University criteria. In this regard, we prefer to downstage patients and provide bridging treatment opportunities during the preparation phase before LT.
As nonsurgical treatment options, hepatic artery infusion and radiofrequency or microwave ablation treatment options are also considered and imple-mented. Normally, hepatocytes provide nutrition mostly from the portal vein. However, for cases of hepatic metastasis, when hepatic metastases grow more than 2 mm, they receive nutrients from the hepatic artery. For this reason, hepatic artery infusion can be applied in selected patients with CRC and liver metastasis.12 In our present study, however, we did not use this as there were no appropriate patients.
Fewer complications and better postoperative quality of life are shown in patients who have received radiofrequency ablation to hepatic metastases. However, in terms of survival, surgical options remain superior. Nonsurgical options are for selected and appropriate cases.13
Use of chemotherapies can have many side effects and a negative effect on the liver. Sinusoidal obstruction, vanishing metastases, and steatosis may also be adverse effects on the liver.14,15 Chemotherapy can also have negative results on postponed liver surgery. For this reason, simultaneous liver surgery may be preferred in appropriate patients with CRC and liver metastases. Simultaneous resection is recommended for young and fit patients to allow lower morbidity and mortality, as this patient group has low recurrence rates.8 In patients with stage IV CRC, higher rates of liver and lung metastases have been detected in those with left-sided CRC.16 In our study group, most patients had left-sided CRC, which is consistent with the literature.
According to a study from Kudo,17 OS rates in patients with HCC were 95% at 1 year, 65% at 5 years, and 41% at 10 years. In our study, OS for patients with HCC was 101.8 months, with 1-year DFS of 90.5% and 5-year DFS of 54%.
According to a study from Kanas and colleagues,18 patients with CRC and liver metastases who underwent simultaneous resection had a median OS of 3.6 years, a 5-year survival rate of 74%, and a 10-year survival rate of 16%. In our study, OS for this patient group was 82.6 months, with 1-year DFS of 98%, 5-year DFS of 40%, and 10-year DFS of 18%. We interpret our better OS and DFS rates as a result of having patients with fewer comorbidities and better differentiation rates of the tumor. Although grades were higher, the results showed that metastatic lymph node extraction is sufficient. Hence, we did not prefer major resection as initial treatment, allowing us the advantage of parenchyma sparing of the liver. In our center, we have immediate access to interventional radiology and routinely call this department during intraoperative surgeries for ablative therapies. In addition, routine frozen sections are sent to pathology for examination, allowing us better knowledge of the negative surgical margins.
There are some limitations to our study. The most important limitation was the retrospective and single-centered study design. Another limitation was the lack of a comparison group of patients with CRC and liver metastasis without simultaneous treatment and also patients with HCC without transplant but at the same stage as our study group. Further studies in this regard are needed.
Conclusions
Our study showed better survival in patients with HCC versus patients with CRC. Therefore, treatment options used for patients with HCC may need to be more aggressively used in patients with CRC and liver metastases, including LT as an alternative treatment.
References:

Volume : 20
Issue : 3
Pages : 273 - 278
DOI : 10.6002/ect.2021.0452
From the 1Department of General Surgery, Medical School, Baskent University, Ankara, Turkey; and the 2Department of General Surgery, Baskent University, Adana Training and Research Center, Adana, Turkey
Acknowledgements: The authors have not received any funding or grants in support of the presented research or for the preparation of this work and have no declarations of potential conflicts of interest.
Corresponding author: Murathan Erkent, Department of General Surgery, Medical School, Baskent University, Ankara, Turkey
Phone: +90 533 4428858
E-mail: erkentmurathan@gmail.com
Table 1. Demographic Data of Patients With Colorectal Cancer
Table 2. Demographic Data of Patients With Hepatocellular Carcinoma
Figure 1. Overall Survival (Left) and Disease-Free Survival (Right) in Patients With Colorectal Cancer and Liver Metastases
Figure 2. Overall Survival (Left) and Disease-Free Survival (Right) in Patients With Hepatocellular Carcinoma